Официальное опубликование правовых актов
ОФИЦИАЛЬНОЕ ОПУБЛИКОВАНИЕ
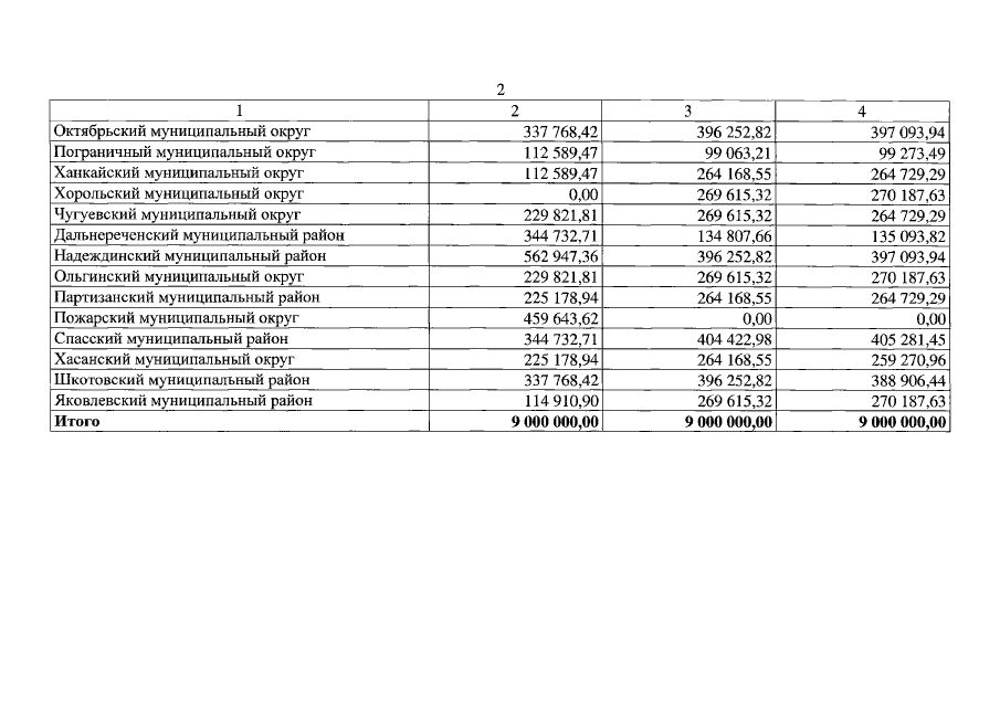
Закон Приморского края от 30.03.2023 № 319-КЗ
"О внесении изменений в Закон Приморского края "О краевом бюджете на 2023 год и плановый период 2024 и 2025 годов"
Номер опубликования: 2500202303310001
Дата опубликования: 31.03.2023
Страница №1165 из 1192:
Увеличить