Официальное опубликование правовых актов
ОФИЦИАЛЬНОЕ ОПУБЛИКОВАНИЕ
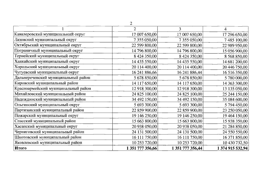
Закон Приморского края от 20.12.2022 № 253-КЗ
"О краевом бюджете на 2023 год и плановый период 2024 и 2025 годов"
Номер опубликования: 2500202212200003
Дата опубликования: 20.12.2022
Страница №1132 из 1184:
Увеличить