Официальное опубликование правовых актов
ОФИЦИАЛЬНОЕ ОПУБЛИКОВАНИЕ
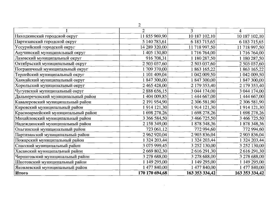
Закон Приморского края от 01.12.2022 № 233-КЗ
"О внесении изменений в Закон Приморского края "О краевом бюджете на 2022 год и плановый период 2023 и 2024 годов"
Номер опубликования: 2500202212010002
Дата опубликования: 01.12.2022
Страница №1217 из 1236:
Увеличить