Официальное опубликование правовых актов
ОФИЦИАЛЬНОЕ ОПУБЛИКОВАНИЕ
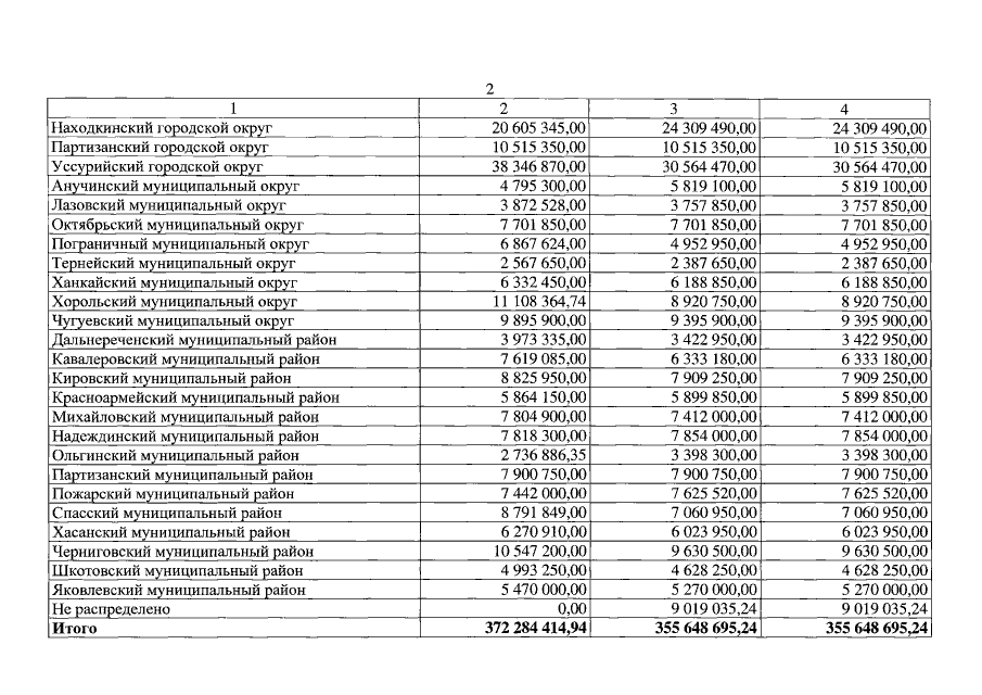
Закон Приморского края от 12.10.2022 № 214-КЗ
"О внесении изменений в Закон Приморского края "О краевом бюджете на 2022 год и плановый период 2023 и 2024 годов"
Номер опубликования: 2500202210130001
Дата опубликования: 13.10.2022
Страница №1135 из 1155:
Увеличить