Официальное опубликование правовых актов
ОФИЦИАЛЬНОЕ ОПУБЛИКОВАНИЕ
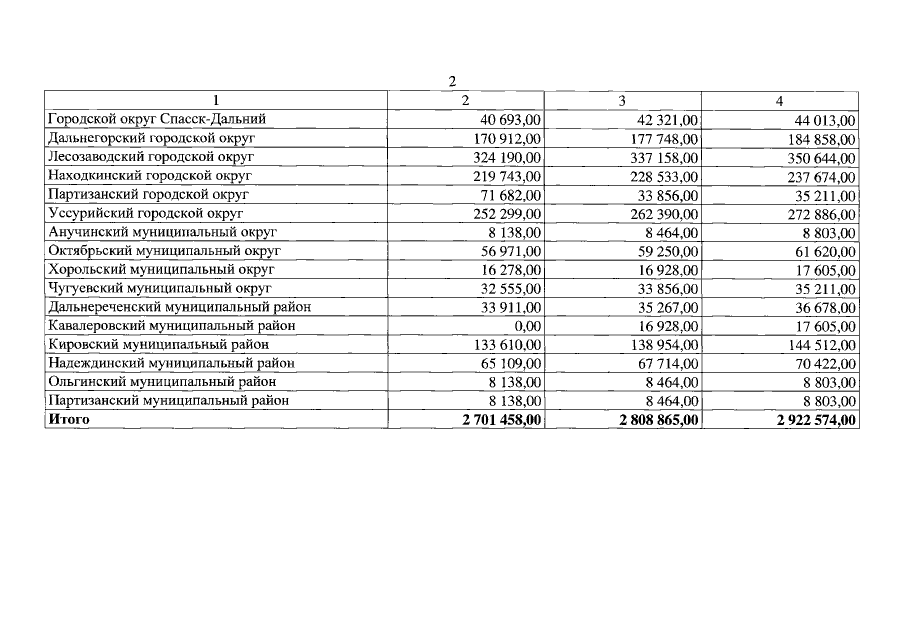
Закон Приморского края от 27.05.2022 № 101-КЗ
"О внесении изменений в Закон Приморского края "О краевом бюджете на 2022 год и плановый период 2023 и 2024 годов"
Номер опубликования: 2500202205300003
Дата опубликования: 30.05.2022
Страница №1164 из 1170:
Увеличить