Официальное опубликование правовых актов
ОФИЦИАЛЬНОЕ ОПУБЛИКОВАНИЕ
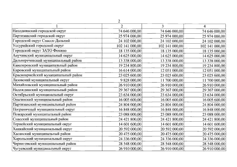
Закон Приморского края от 17.09.2021 № 1141-КЗ
"О внесении изменений в Закон Приморского края "О краевом бюджете на 2021 год и плановый период 2022 и 2023 годов"
Номер опубликования: 2500202109170003
Дата опубликования: 17.09.2021
Страница №1431 из 1455:
Увеличить