Официальное опубликование правовых актов
ОФИЦИАЛЬНОЕ ОПУБЛИКОВАНИЕ
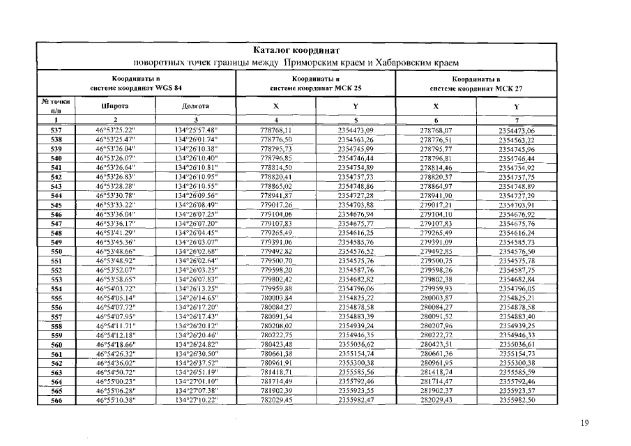
Закон Приморского края от 09.08.2021 № 1123-КЗ
"Об утверждении Соглашения об описании местоположения границы между Приморским и Хабаровским краями"
Номер опубликования: 2500202108100001
Дата опубликования: 10.08.2021
Страница №27 из 370:
Увеличить