Официальное опубликование правовых актов
ОФИЦИАЛЬНОЕ ОПУБЛИКОВАНИЕ
Распоряжение Губернатора Приморского края от 07.07.2021 № 202-рг
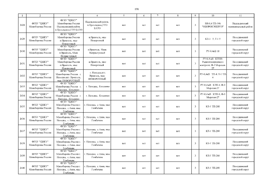
"О внесении изменений в распоряжение Губернатора Приморского края от 11 октября 2017 года № 157-рг "Об утверждении перечня потребителей электрической энергии (мощности), ограничение режима потребления электрической энергии которых может привести к экономическим, экологическим, социальным последствиям"
Номер опубликования: 2500202107090002
Дата опубликования: 09.07.2021
Страница №199 из 234:
Увеличить