Официальное опубликование правовых актов
ОФИЦИАЛЬНОЕ ОПУБЛИКОВАНИЕ
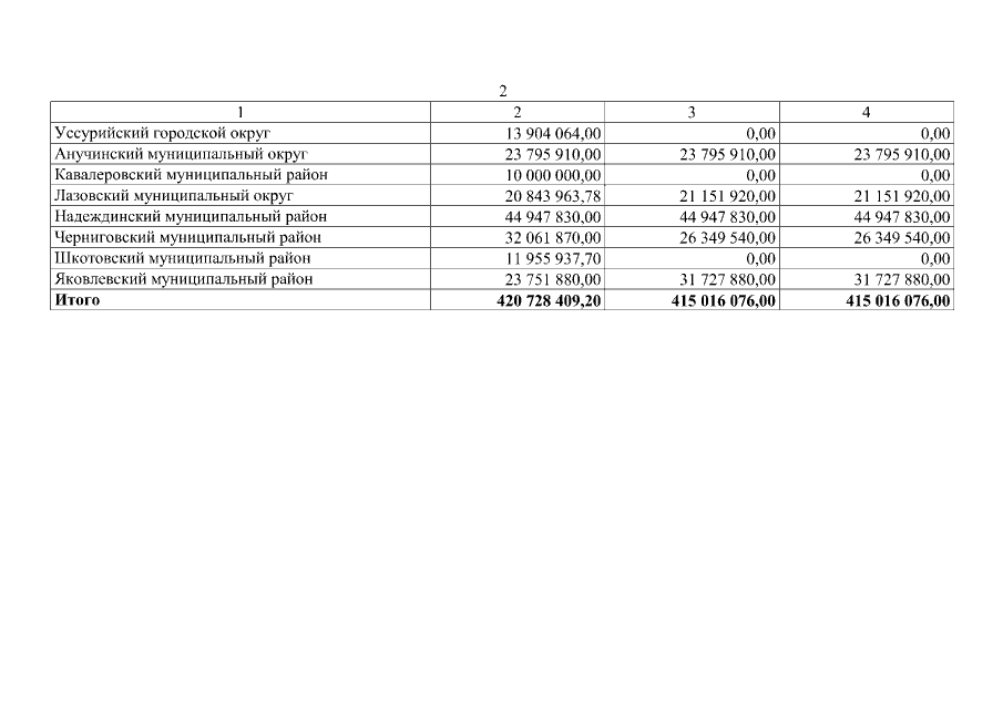
Закон Приморского края от 01.07.2021 № 1068-КЗ
"О внесении изменений в Закон Приморского края "О краевом бюджете на 2021 год и плановый период 2022 и 2023 годов"
Номер опубликования: 2500202107020001
Дата опубликования: 02.07.2021
Страница №1326 из 1365:
Увеличить