Официальное опубликование правовых актов
ОФИЦИАЛЬНОЕ ОПУБЛИКОВАНИЕ
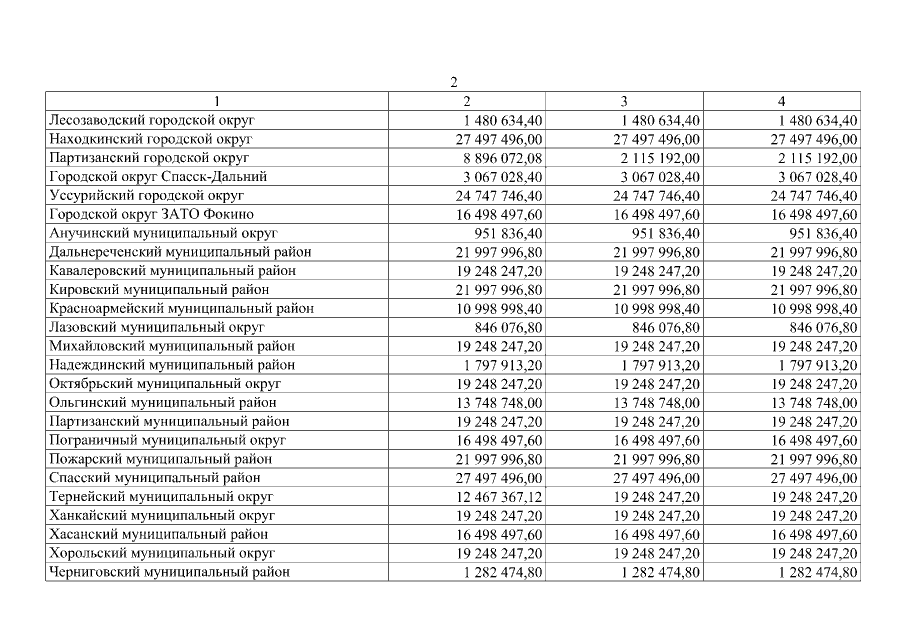
Закон Приморского края от 25.02.2021 № 998-КЗ
"О внесении изменений в Закон Приморского края "О краевом бюджете на 2021 год и плановый период 2022 и 2023 годов"
Номер опубликования: 2500202102260001
Дата опубликования: 26.02.2021
Страница №1211 из 1242:
Увеличить