Официальное опубликование правовых актов
ОФИЦИАЛЬНОЕ ОПУБЛИКОВАНИЕ
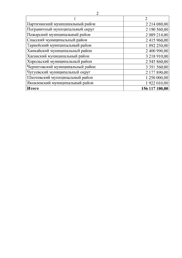
Закон Приморского края от 15.12.2020 № 955-КЗ
"О внесении изменений в Закон Приморского края "О краевом бюджете на 2020 год и плановый период 2021 и 2022 годов"
Номер опубликования: 2500202012160004
Дата опубликования: 16.12.2020
Страница №736 из 761:
Увеличить