Официальное опубликование правовых актов
ОФИЦИАЛЬНОЕ ОПУБЛИКОВАНИЕ
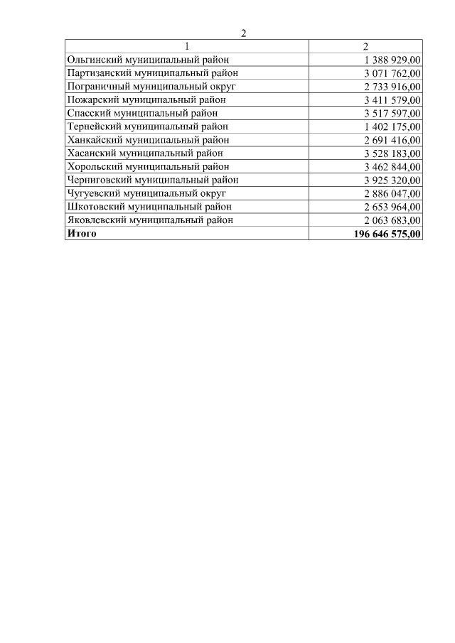
Закон Приморского края от 26.11.2020 № 934-КЗ
"О внесении изменений в Закон Приморского края "О краевом бюджете на 2020 год и плановый период 2021 и 2022 годов"
Номер опубликования: 2500202011270002
Дата опубликования: 27.11.2020
Страница №1577 из 1612:
Увеличить