Официальное опубликование правовых актов
ОФИЦИАЛЬНОЕ ОПУБЛИКОВАНИЕ
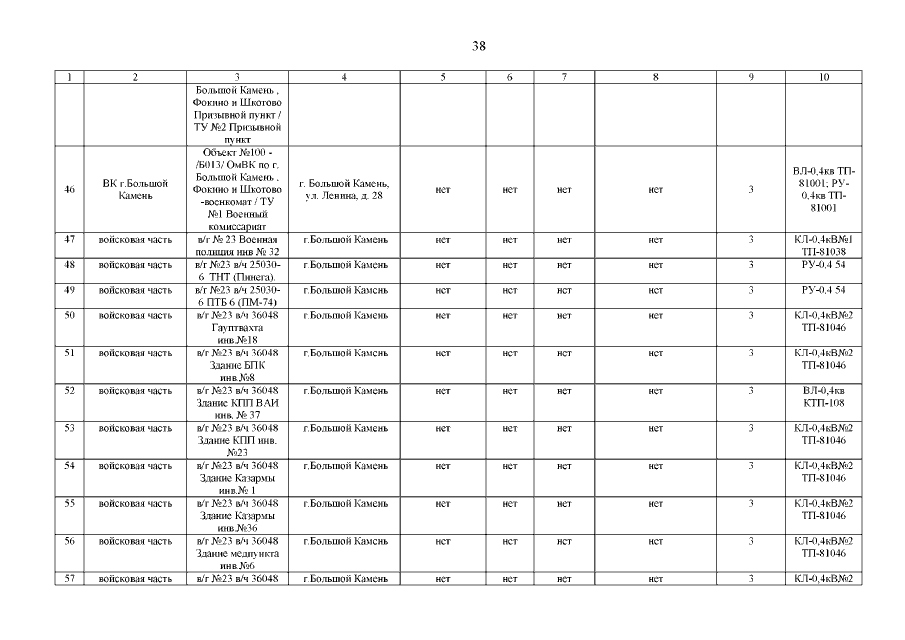
Распоряжение Губернатора Приморского края от 19.10.2020 № 443-рг
"О внесении изменений в распоряжение Губернатора Приморского края от 11 октября 2017 года № 157-рг "Об утверждении перечня потребителей электрической энергии (мощности), ограничение режима потребления электрической энергии которых может привести к экономическим, экологическим, социальным последствиям"
Номер опубликования: 2500202010210003
Дата опубликования: 21.10.2020
Страница №39 из 540:
Увеличить