Официальное опубликование правовых актов
ОФИЦИАЛЬНОЕ ОПУБЛИКОВАНИЕ
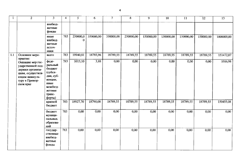
Постановление Администрации Приморского края от 27.12.2019 № 921-па
"Об утверждении государственной программы Приморского края "Развитие рыбохозяйственного комплекса в Приморском крае на 2020-2027 годы"
Номер опубликования: 2500201912300022
Дата опубликования: 30.12.2019
Страница №70 из 105:
Увеличить