Официальное опубликование правовых актов
ОФИЦИАЛЬНОЕ ОПУБЛИКОВАНИЕ
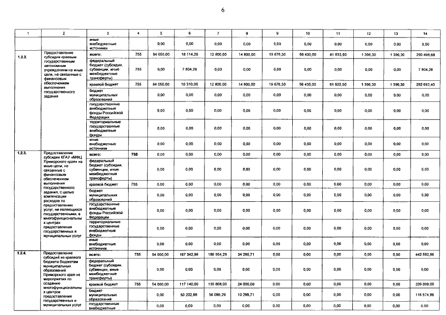
Постановление Администрации Приморского края от 27.12.2019 № 914-па
"О внесении изменений в постановление Администрации Приморского края от 7 декабря 2012 года № 385-па "Об утверждении государственной программы Приморского края "Информационное общество" на 2013 - 2021 годы"
Номер опубликования: 2500201912300015
Дата опубликования: 30.12.2019
Страница №24 из 67:
Увеличить