Официальное опубликование правовых актов
ОФИЦИАЛЬНОЕ ОПУБЛИКОВАНИЕ
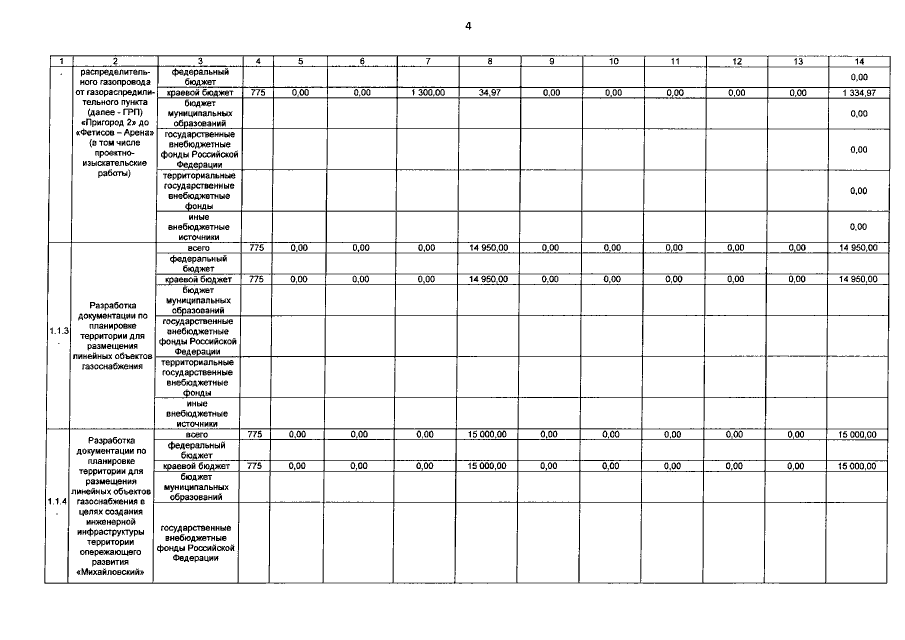
Постановление Администрации Приморского края от 27.12.2019 № 912-па
"О внесении изменений в постановление Администрации Приморского края от 7 декабря 2012 года № 390-па "Об утверждении государственной программы Приморского края "Энергоэффективность, развитие газоснабжения и энергетики в Приморском крае" на 2013-2021 годы"
Номер опубликования: 2500201912300005
Дата опубликования: 30.12.2019
Страница №20 из 32:
Увеличить