Официальное опубликование правовых актов
ОФИЦИАЛЬНОЕ ОПУБЛИКОВАНИЕ
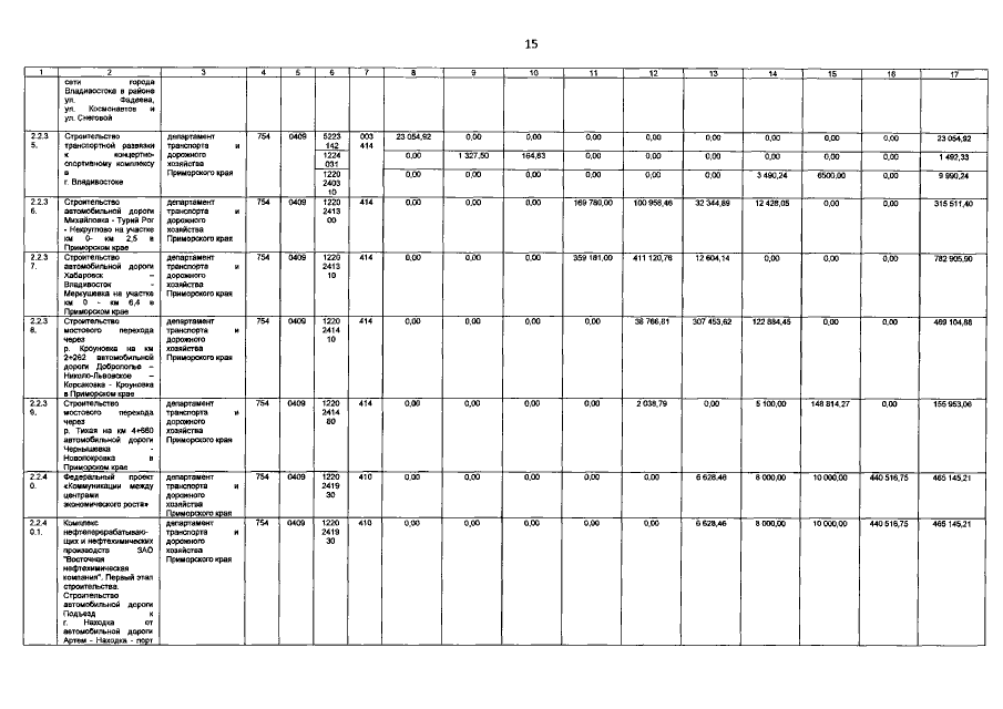
Постановление Администрации Приморского края от 27.12.2019 № 911-па
"О внесении изменений в постановление Администрации Приморского края от 7 декабря 2012 года № 394-па "Об утверждении государственной программы Приморского края "Развитие транспортного комплекса Приморского края" на 2013 – 2021 годы"
Номер опубликования: 2500201912300004
Дата опубликования: 30.12.2019
Страница №23 из 110:
Увеличить