Официальное опубликование правовых актов
ОФИЦИАЛЬНОЕ ОПУБЛИКОВАНИЕ
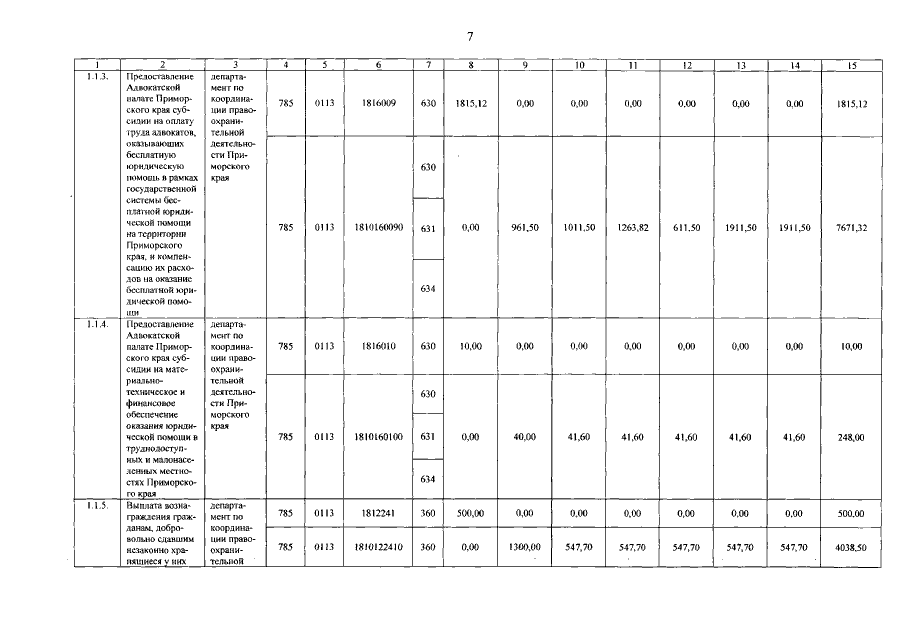
Постановление Администрации Приморского края от 26.12.2019 № 906-па
"О внесении изменений в постановление Администрации Приморского края от 3 декабря 2014 года № 495-па "Об утверждении государственной программы Приморского края "Безопасный край" на 2015-2021 годы"
Номер опубликования: 2500201912300002
Дата опубликования: 30.12.2019
Страница №10 из 106:
Увеличить