Официальное опубликование правовых актов
ОФИЦИАЛЬНОЕ ОПУБЛИКОВАНИЕ
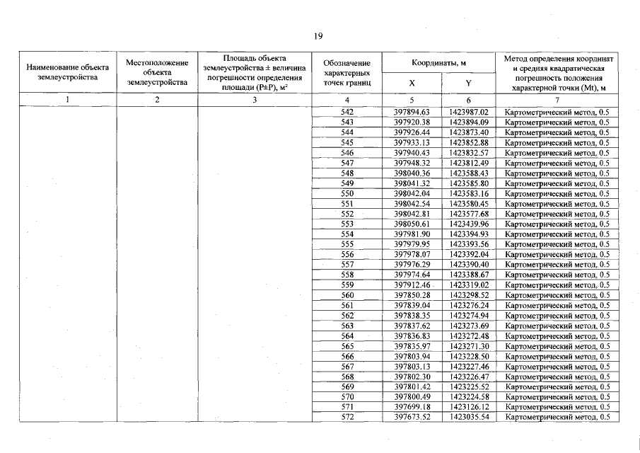
Постановление Администрации Приморского края от 11.12.2019 № 840-па
"Об утверждении границ охранных зон газораспределительной сети и наложении ограничений (обременений) на входящие в них земельные участки на территории Артемовского городского округа и Михайловского муниципального района"
Номер опубликования: 2500201912130009
Дата опубликования: 13.12.2019
Страница №21 из 29:
Увеличить