Официальное опубликование правовых актов
ОФИЦИАЛЬНОЕ ОПУБЛИКОВАНИЕ
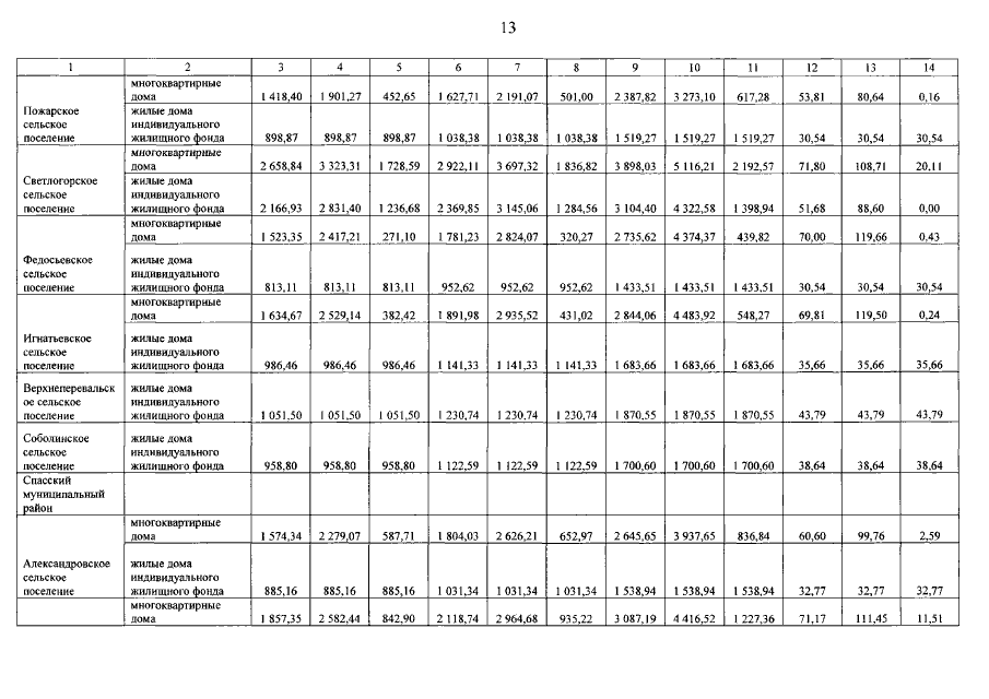
Постановление Администрации Приморского края от 10.12.2019 № 826-па
"О внесении изменений в постановление Администрации Приморского края от 24 июня 2019 года № 391-па "О региональных стандартах стоимости жилищно-коммунальных услуг на 2019 год"
Номер опубликования: 2500201912120008
Дата опубликования: 12.12.2019
Страница №48 из 56:
Увеличить