Официальное опубликование правовых актов
ОФИЦИАЛЬНОЕ ОПУБЛИКОВАНИЕ
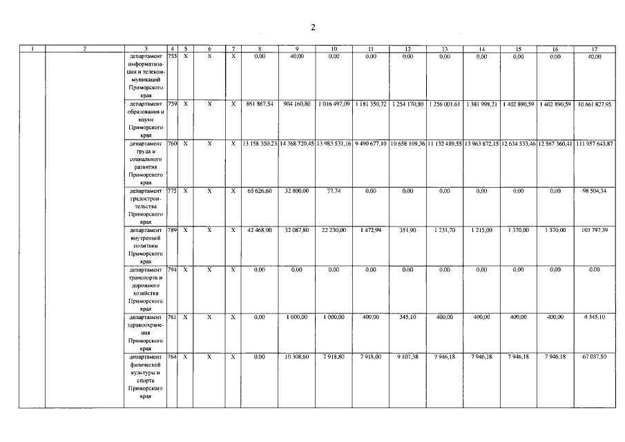
Постановление Администрации Приморского края от 28.11.2019 № 791-па
"О внесении изменений в постановление Администрации Приморского края от 7 декабря 2012 года № 393-па "Об утверждении государственной программы Приморского края "Социальная поддержка населения Приморского края на 2013 - 2021 годы"
Номер опубликования: 2500201912020002
Дата опубликования: 02.12.2019
Страница №24 из 253:
Увеличить