Официальное опубликование правовых актов
ОФИЦИАЛЬНОЕ ОПУБЛИКОВАНИЕ
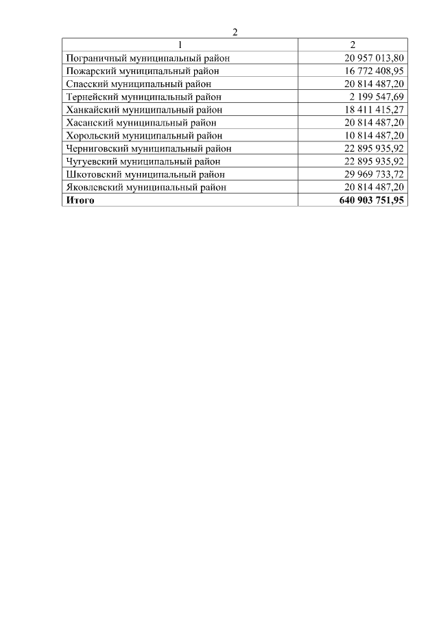
Закон Приморского края от 31.10.2019 № 601-КЗ
"О внесении изменений в Закон Приморского края "О краевом бюджете на 2019 год и плановый период 2020 и 2021 годов"
Номер опубликования: 2500201911010006
Дата опубликования: 01.11.2019
Страница №1352 из 1392:
Увеличить