Официальное опубликование правовых актов
ОФИЦИАЛЬНОЕ ОПУБЛИКОВАНИЕ
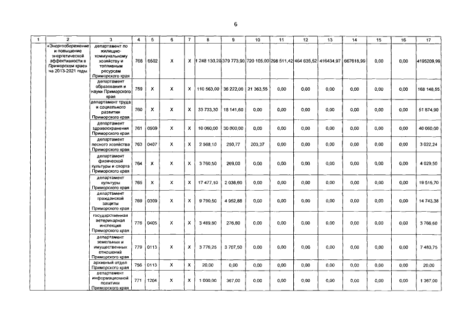
Постановление Администрации Приморского края от 30.10.2019 № 706-па
"О внесении изменений в постановление Администрации Приморского края от 7 декабря 2012 года № 390-па "Об утверждении государственной программы Приморского края "Энергоэффективность, развитие газоснабжения и энергетики в Приморском крае" на 2013-2021 годы"
Номер опубликования: 2500201910310001
Дата опубликования: 31.10.2019
Страница №10 из 41:
Увеличить