Официальное опубликование правовых актов
ОФИЦИАЛЬНОЕ ОПУБЛИКОВАНИЕ
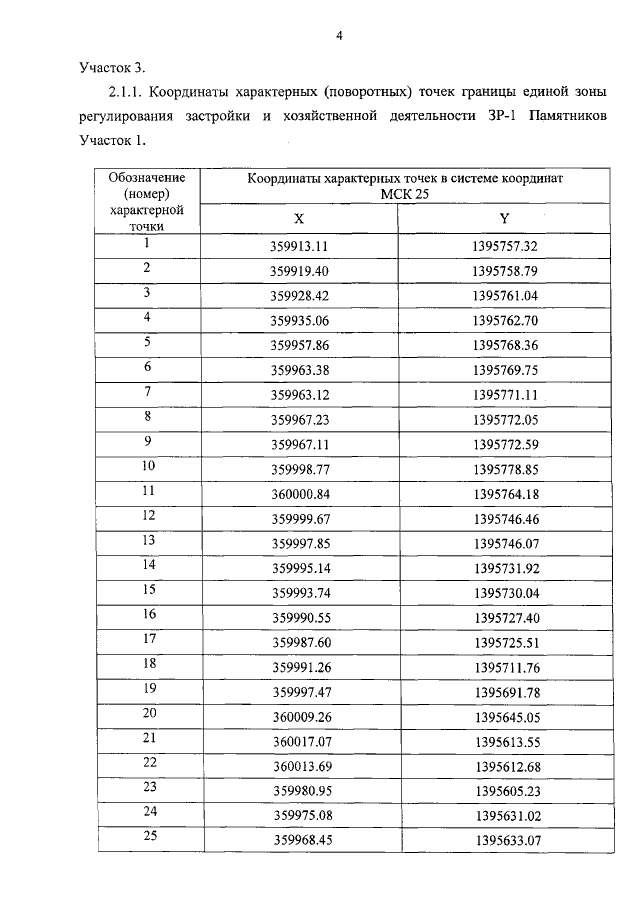
Постановление Администрации Приморского края от 17.10.2019 № 677-па
"Об установлении объединенной зоны охраны объектов культурного наследия (памятников истории и культуры) народов Российской Федерации регионального значения "Здание Совнархоза", 1961 г. и "Здание Владивостокского коммерческого училища, в котором в 1913 – 1919 годах учился А.А. Фадеев, советский писатель", 1913 г., утверждении требований к градостроительным регламентам в границах территорий данной зоны"
Номер опубликования: 2500201910210003
Дата опубликования: 21.10.2019
Страница №6 из 26:
Увеличить