Официальное опубликование правовых актов
ОФИЦИАЛЬНОЕ ОПУБЛИКОВАНИЕ
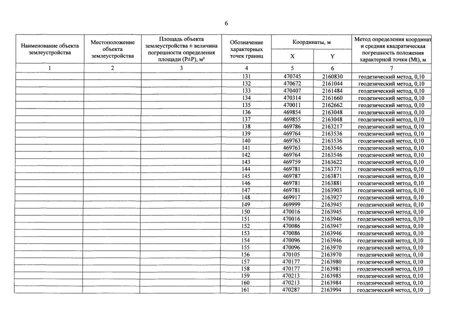
Постановление Администрации Приморского края от 22.07.2019 № 466-па
"Об утверждении границ охранных зон газораспределительных сетей и наложении ограничений (обременений) на входящие в них земельные участки на территории Михайловского муниципального района Приморского края"
Номер опубликования: 2500201907230001
Дата опубликования: 23.07.2019
Страница №25 из 29:
Увеличить