Официальное опубликование правовых актов
ОФИЦИАЛЬНОЕ ОПУБЛИКОВАНИЕ
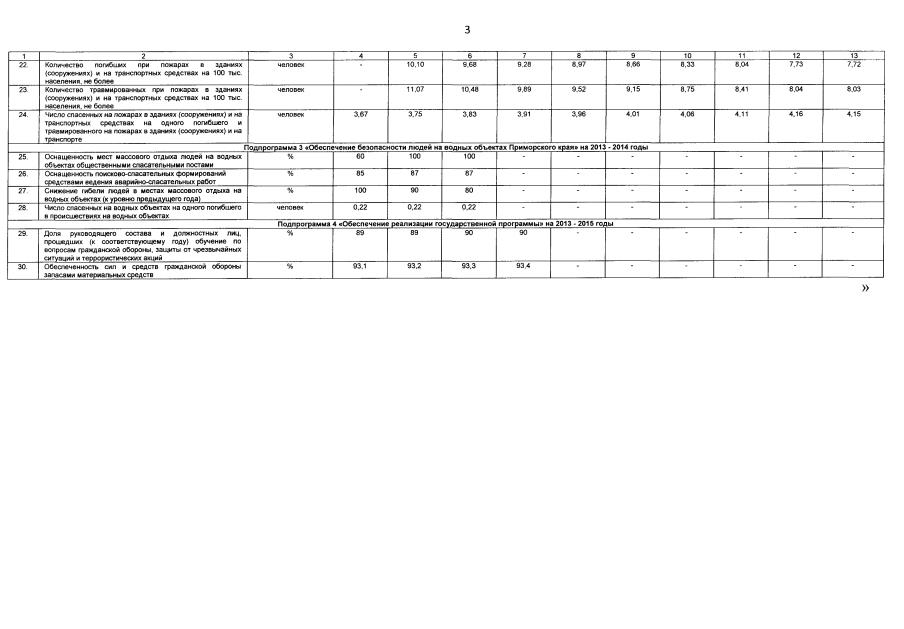
Постановление Администрации Приморского края от 26.06.2019 № 399-па
"О внесении изменений в постановление Администрации Приморского края от 7 декабря 2012 года № 386-па "Об утверждении государственной программы Приморского края "Защита населения и территории от чрезвычайных ситуаций, обеспечение пожарной безопасности и безопасности людей на водных объектах Приморского края" на 2013 – 2021 годы"
Номер опубликования: 2500201906280004
Дата опубликования: 28.06.2019
Страница №8 из 55:
Увеличить