Официальное опубликование правовых актов
ОФИЦИАЛЬНОЕ ОПУБЛИКОВАНИЕ
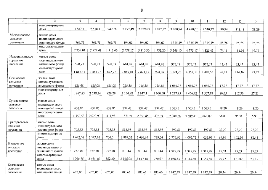
Постановление Администрации Приморского края от 24.06.2019 № 391-па
"О региональных стандартах стоимости жилищно-коммунальных услуг на 2019 год"
Номер опубликования: 2500201906250002
Дата опубликования: 25.06.2019
Страница №43 из 56:
Увеличить