Официальное опубликование правовых актов
ОФИЦИАЛЬНОЕ ОПУБЛИКОВАНИЕ
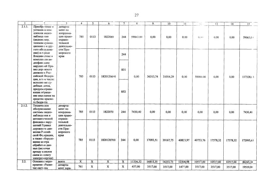
Постановление Администрации Приморского края от 11.06.2019 № 353-па
"О внесении изменений в постановление Администрации Приморского края от 3 декабря 2014 года № 495-па "Об утверждении государственной программы Приморского края "Безопасный край" на 2015-2021 годы"
Номер опубликования: 2500201906110003
Дата опубликования: 11.06.2019
Страница №34 из 110:
Увеличить