Официальное опубликование правовых актов
ОФИЦИАЛЬНОЕ ОПУБЛИКОВАНИЕ
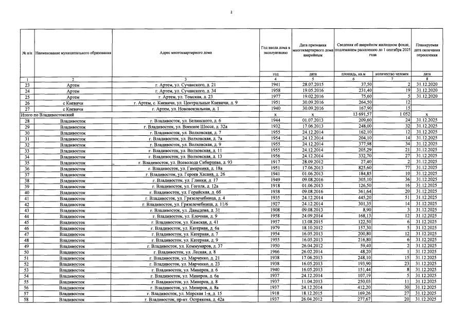
Постановление Администрации Приморского края от 09.04.2019 № 217-па
"Об утверждении региональной адресной программы "Переселение граждан из аварийного жилищного фонда в Приморском крае" на 2019-2025 годы"
Номер опубликования: 2500201904150014
Дата опубликования: 15.04.2019
Страница №29 из 51:
Увеличить