Официальное опубликование правовых актов
ОФИЦИАЛЬНОЕ ОПУБЛИКОВАНИЕ
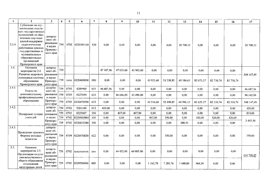
Постановление Администрации Приморского края от 08.02.2019 № 72-па
"О внесении изменений в постановление Администрации Приморского края от 7 декабря 2012 года № 395-па "Об утверждении государственной программы Приморского края "Развитие образования Приморского края" на 2013 - 2021 годы"
Номер опубликования: 2500201902120009
Дата опубликования: 12.02.2019
Страница №134 из 297:
Увеличить