Официальное опубликование правовых актов
ОФИЦИАЛЬНОЕ ОПУБЛИКОВАНИЕ
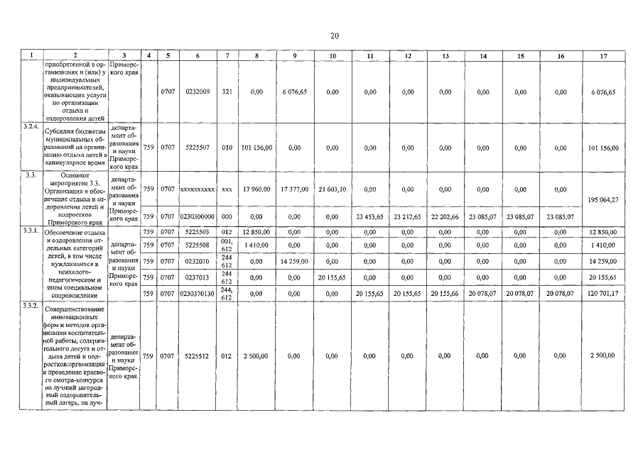
Постановление Администрации Приморского края от 14.01.2019 № 4-па
"О внесении изменений в постановление Администрации Приморского края от 7 декабря 2012 года № 395-па "Об утверждении государственной программы Приморского края "Развитие образования Приморского края" на 2013 - 2021 годы"
Номер опубликования: 2500201901150002
Дата опубликования: 15.01.2019
Страница №48 из 191:
Увеличить