Официальное опубликование правовых актов
ОФИЦИАЛЬНОЕ ОПУБЛИКОВАНИЕ
Постановление Администрации Приморского края от 27.12.2018 № 660-па
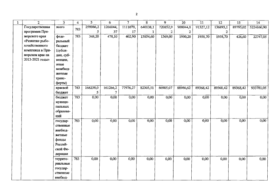
"О внесении изменений в постановление Администрации Приморского края от 7 декабря 2012 года № 389-па "Об утверждении государственной программы Приморского края "Развитие рыбохозяйственного комплекса в Приморском крае на 2013 - 2021 годы"
Номер опубликования: 2500201812280002
Дата опубликования: 28.12.2018
Страница №19 из 48:
Увеличить