Официальное опубликование правовых актов
ОФИЦИАЛЬНОЕ ОПУБЛИКОВАНИЕ
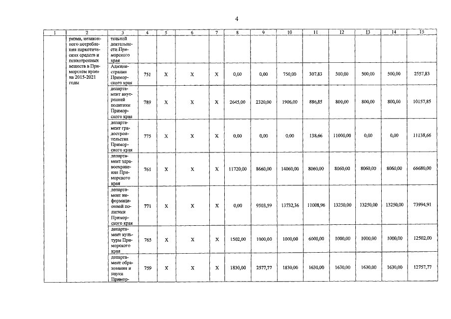
Постановление Администрации Приморского края от 21.12.2018 № 632-па
"О внесении изменений в постановление Администрации Приморского края от 3 декабря 2014 года № 495-па "Об утверждении государственной программы Приморского края "Безопасный край" на 2015-2021 годы"
Номер опубликования: 2500201812240001
Дата опубликования: 24.12.2018
Страница №8 из 102:
Увеличить