Официальное опубликование правовых актов
ОФИЦИАЛЬНОЕ ОПУБЛИКОВАНИЕ
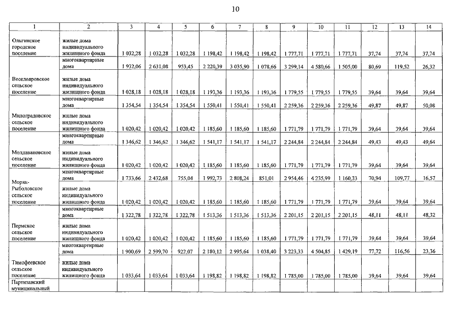
Постановление Администрации Приморского края от 10.12.2018 № 601-па
"О внесении изменений в постановление Администрации Приморского края от 17 мая 2018 года № 226-па "О региональных стандартах стоимости жилищно-коммунальных услуг на 2018 год"
Номер опубликования: 2500201812110001
Дата опубликования: 11.12.2018
Страница №45 из 56:
Увеличить