Официальное опубликование правовых актов
ОФИЦИАЛЬНОЕ ОПУБЛИКОВАНИЕ
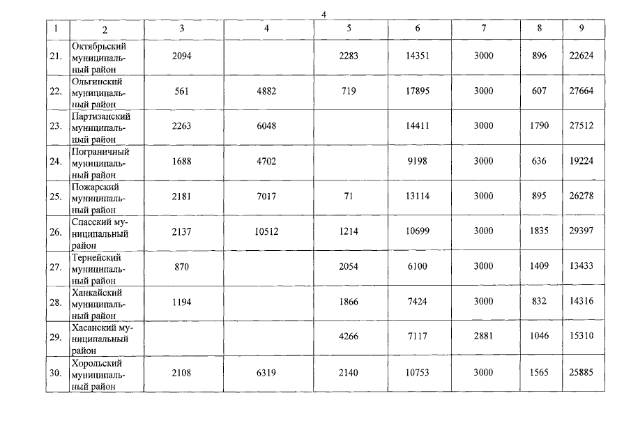
Постановление Администрации Приморского края от 06.12.2018 № 590-па
"О внесении изменений в постановление Администрации Приморского края от 16 мая 2018 года № 225-па "Об утверждении распределения иных межбюджетных трансфертов на поддержку мер по обеспечению сбалансированности бюджетов муниципальных образований Приморского края в 2018 году"
Номер опубликования: 2500201812100003
Дата опубликования: 10.12.2018
Страница №5 из 6:
Увеличить