Официальное опубликование правовых актов
ОФИЦИАЛЬНОЕ ОПУБЛИКОВАНИЕ
Постановление Администрации Приморского края от 15.11.2018 № 535-па
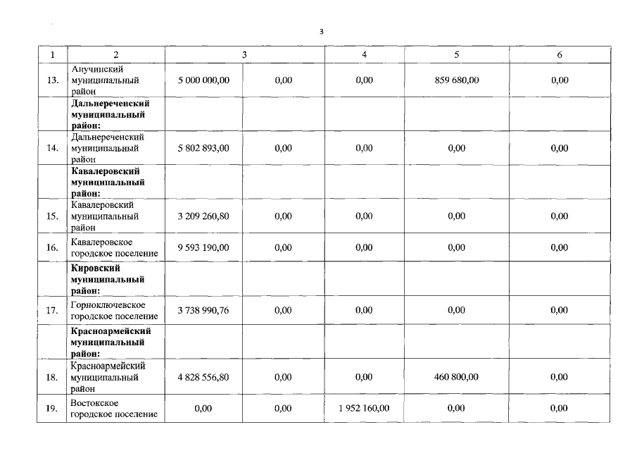
"О внесении изменений в постановление Администрации Приморского края от 11 апреля 2018 года № 156-па "Об утверждении распределения субсидий за счет средств дорожного фонда Приморского края бюджетам муниципальных образований Приморского края на осуществление дорожной деятельности в отношении автомобильных дорог общего пользования местного значения в 2018 году"
Номер опубликования: 2500201811160001
Дата опубликования: 16.11.2018
Страница №5 из 9:
Увеличить