Официальное опубликование правовых актов
ОФИЦИАЛЬНОЕ ОПУБЛИКОВАНИЕ
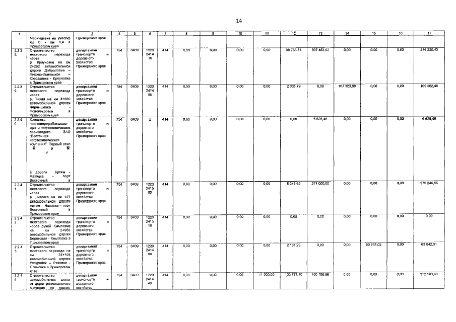
Постановление Администрации Приморского края от 09.11.2018 № 532-па
"О внесении изменений в постановление Администрации Приморского края от 7 декабря 2012 года № 394-па "Об утверждении государственной программы Приморского края "Развитие транспортного комплекса Приморского края" на 2013 – 2021 годы"
Номер опубликования: 2500201811140001
Дата опубликования: 14.11.2018
Страница №29 из 100:
Увеличить