Официальное опубликование правовых актов
ОФИЦИАЛЬНОЕ ОПУБЛИКОВАНИЕ
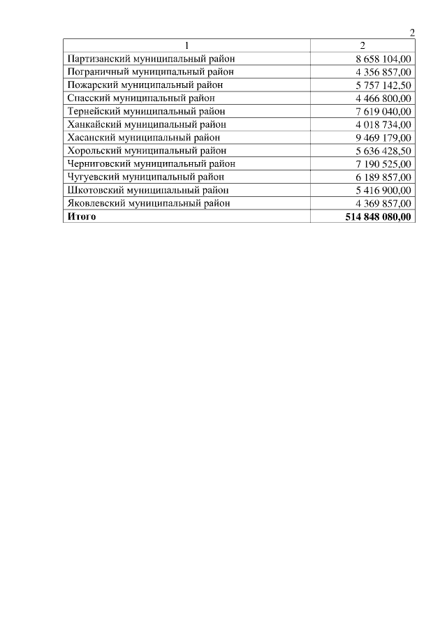
Закон Приморского края от 19.10.2018 № 362-КЗ
"О внесении изменений в Закон Приморского края "О краевом бюджете на 2018 год и плановый период 2019 и 2020 годов"
Номер опубликования: 2500201810190001
Дата опубликования: 19.10.2018
Страница №1352 из 1383:
Увеличить