Официальное опубликование правовых актов
ОФИЦИАЛЬНОЕ ОПУБЛИКОВАНИЕ
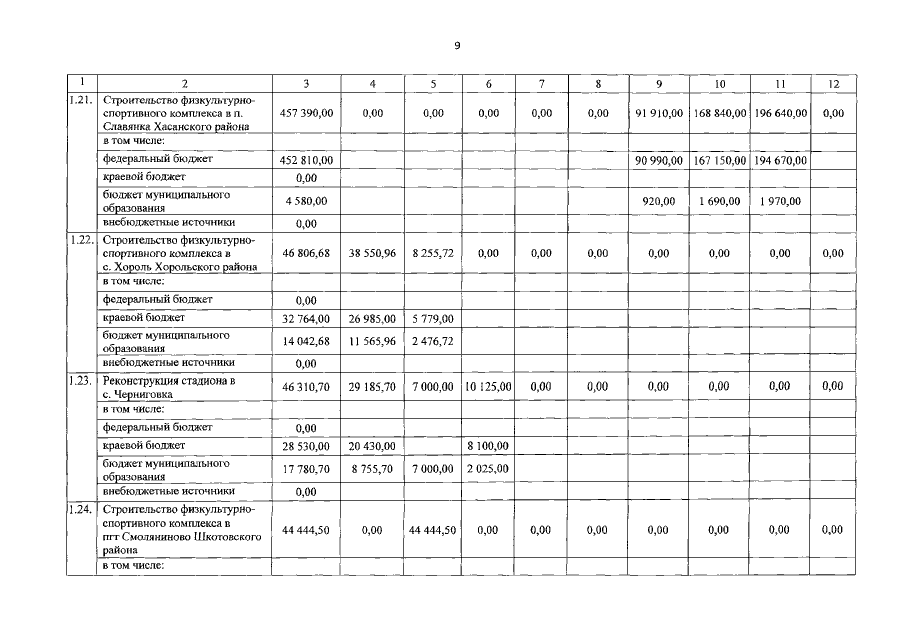
Постановление Администрации Приморского края от 20.08.2018 № 395-па
"О внесении изменений в постановление Администрации Приморского края от 7 декабря 2012 года № 381-па "Об утверждении государственной программы Приморского края "Развитие физической культуры и спорта Приморского края" на 2013-2020 годы"
Номер опубликования: 2500201808230002
Дата опубликования: 23.08.2018
Страница №129 из 158:
Увеличить