Официальное опубликование правовых актов
ОФИЦИАЛЬНОЕ ОПУБЛИКОВАНИЕ
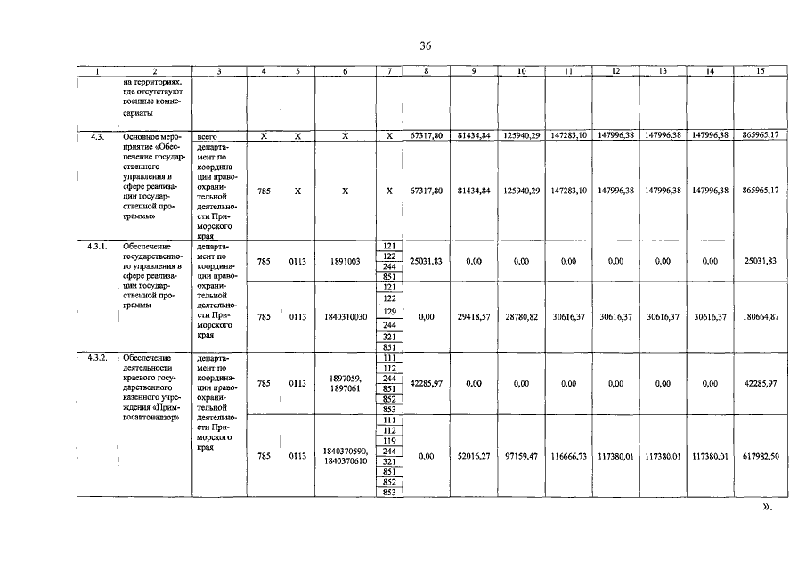
Постановление Администрации Приморского края от 09.08.2018 № 381-па
"О внесении изменений в постановление Администрации Приморского края от 3 декабря 2014 года № 495-па "Об утверждении государственной программы Приморского края "Безопасный край" на 2015-2020 годы"
Номер опубликования: 2500201808130007
Дата опубликования: 13.08.2018
Страница №62 из 125:
Увеличить