Официальное опубликование правовых актов
ОФИЦИАЛЬНОЕ ОПУБЛИКОВАНИЕ
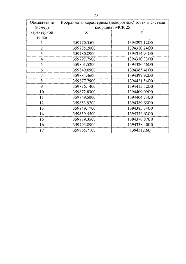
Постановление Администрации Приморского края от 23.07.2018 № 338-па
"Об утверждении границ объединенных зон охраны объектов культурного наследия (памятников истории и культуры) народов Российской Федерации регионального значения, расположенных в границах улиц Пограничной, Светланской, Семеновской, Алеутской, Адмирала Фокина в городе Владивостоке, особых режимов использования земель и требований к градостроительным регламентам в границах территорий данных зон"
Номер опубликования: 2500201807240002
Дата опубликования: 24.07.2018
Страница №25 из 48:
Увеличить