Официальное опубликование правовых актов
ОФИЦИАЛЬНОЕ ОПУБЛИКОВАНИЕ
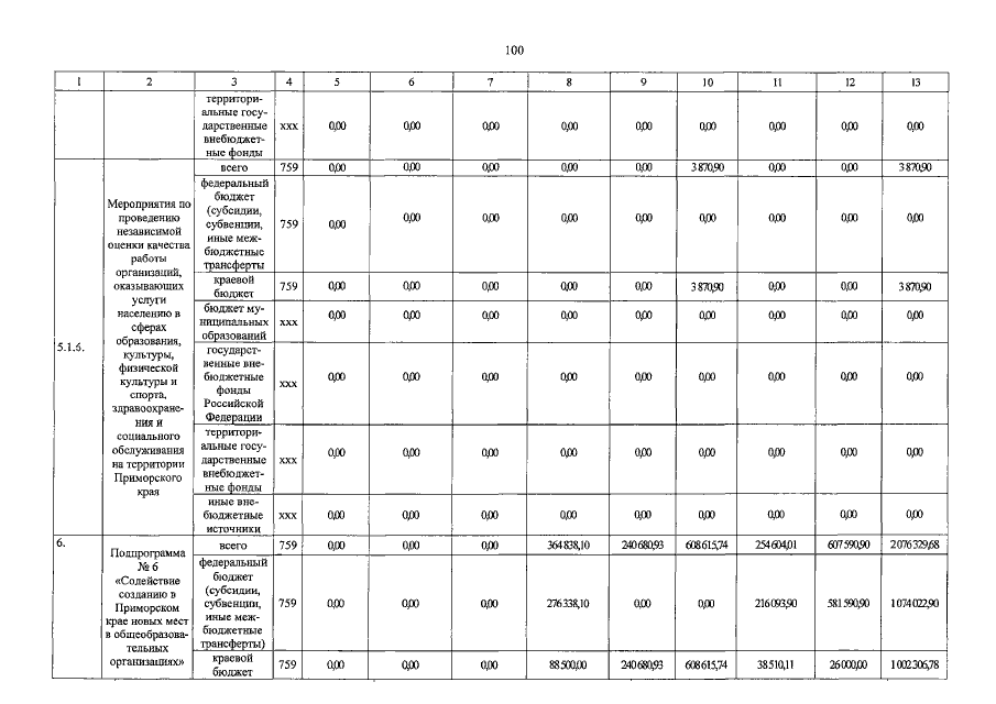
Постановление Администрации Приморского края от 28.06.2018 № 294-па
"О внесении изменений в постановление Администрации Приморского края от 7 декабря 2012 года № 395-па "Об утверждении государственной программы Приморского края "Развитие образования Приморского края" на 2013 − 2020 годы"
Номер опубликования: 2500201806290003
Дата опубликования: 29.06.2018
Страница №159 из 210:
Увеличить