Официальное опубликование правовых актов
ОФИЦИАЛЬНОЕ ОПУБЛИКОВАНИЕ
Постановление Администрации Приморского края от 18.05.2018 № 229-па
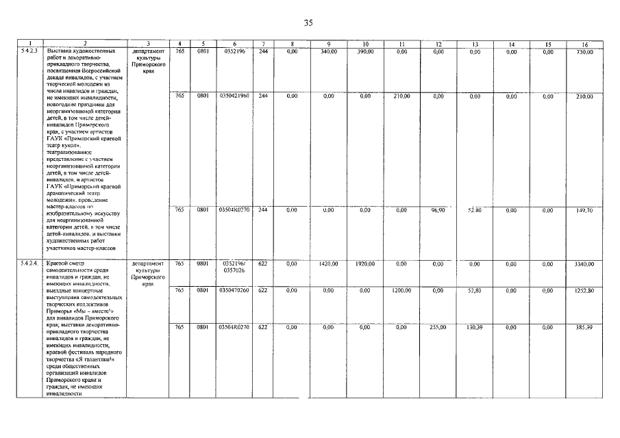
"О внесении изменений в постановление Администрации Приморского края от 7 декабря 2012 года № 393-па "Об утверждении государственной программы Приморского края "Социальная поддержка населения Приморского края на 2013 - 2020 годы"
Номер опубликования: 2500201805180003
Дата опубликования: 18.05.2018
Страница №53 из 251:
Увеличить