Официальное опубликование правовых актов
ОФИЦИАЛЬНОЕ ОПУБЛИКОВАНИЕ
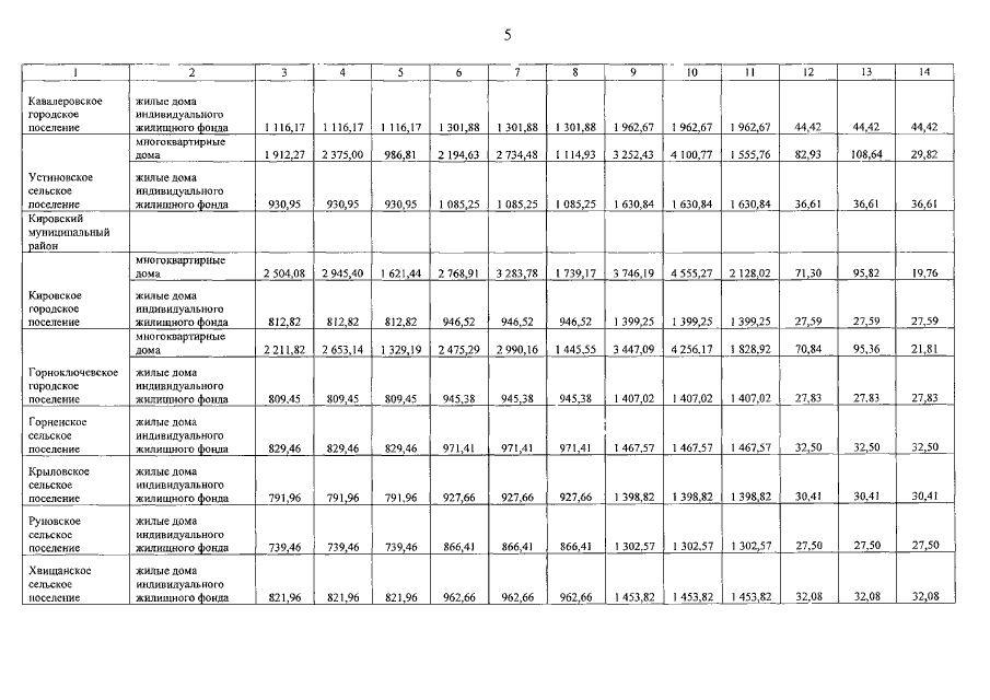
Постановление Администрации Приморского края от 17.05.2018 № 226-па
"О региональных стандартах стоимости жилищно-коммунальных услуг на 2018 год"
Номер опубликования: 2500201805170002
Дата опубликования: 17.05.2018
Страница №40 из 56:
Увеличить