Официальное опубликование правовых актов
ОФИЦИАЛЬНОЕ ОПУБЛИКОВАНИЕ
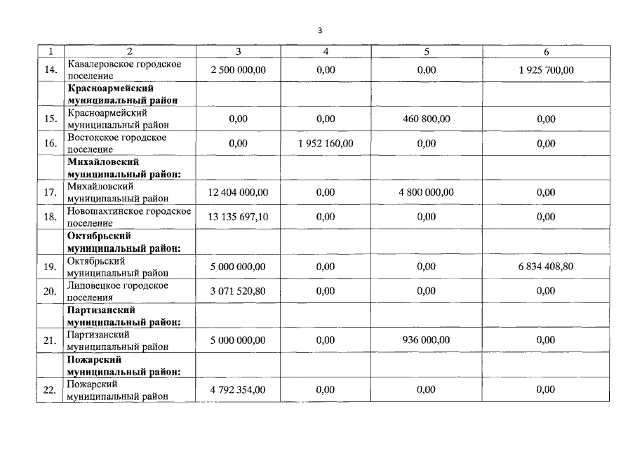
Постановление Администрации Приморского края от 11.04.2018 № 156-па
"Об утверждении распределения субсидий за счет средств дорожного фонда Приморского края бюджетам муниципальных образований Приморского края на осуществление дорожной деятельности в отношении автомобильных дорог общего пользования местного значения в 2018 году"
Номер опубликования: 2500201804120002
Дата опубликования: 12.04.2018
Страница №4 из 6:
Увеличить