Официальное опубликование правовых актов
ОФИЦИАЛЬНОЕ ОПУБЛИКОВАНИЕ
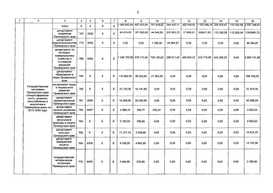
Постановление Администрации Приморского края от 03.04.2018 № 143-па
"О внесении изменений в постановление Администрации Приморского края от 7 декабря 2012 года № 390-па "Об утверждении государственной программы Приморского края "Энергоэффективность, развитие газоснабжения и энергетики в Приморском крае" на 2013-2020 годы"
Номер опубликования: 2500201804040001
Дата опубликования: 04.04.2018
Страница №11 из 43:
Увеличить