Официальное опубликование правовых актов
ОФИЦИАЛЬНОЕ ОПУБЛИКОВАНИЕ
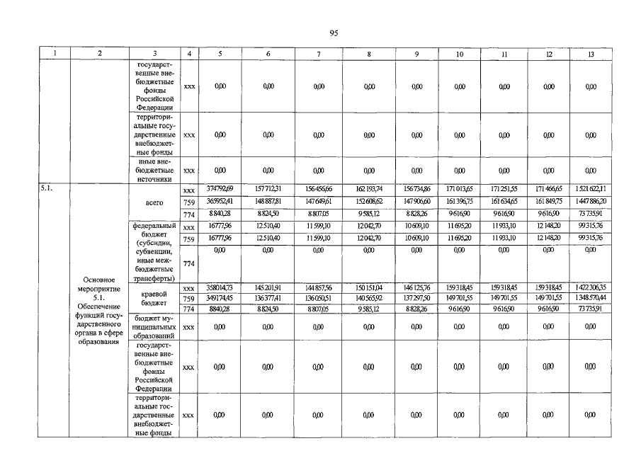
Постановление Администрации Приморского края от 16.03.2018 № 107-па
"О внесении изменений в постановление Администрации Приморского края от 7 декабря 2012 года № 395-па "Об утверждении государственной программы Приморского края "Развитие образования Приморского края" на 2013 - 2020 годы"
Номер опубликования: 2500201803210001
Дата опубликования: 21.03.2018
Страница №183 из 197:
Увеличить