Официальное опубликование правовых актов
ОФИЦИАЛЬНОЕ ОПУБЛИКОВАНИЕ
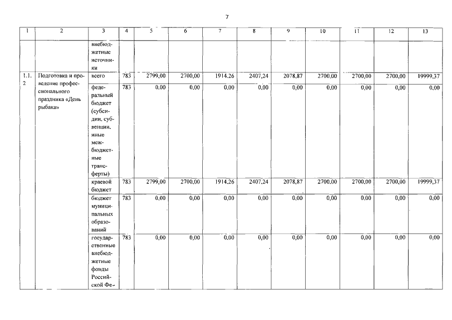
Постановление Администрации Приморского края от 15.03.2018 № 104-па
"О внесении изменений в постановление Администрации Приморского края от 7 декабря 2012 года № 389-па "Об утверждении государственной программы Приморского края "Развитие рыбохозяйственного комплекса в Приморском крае на 2013 - 2020 годы"
Номер опубликования: 2500201803160001
Дата опубликования: 16.03.2018
Страница №40 из 64:
Увеличить