Официальное опубликование правовых актов
ОФИЦИАЛЬНОЕ ОПУБЛИКОВАНИЕ
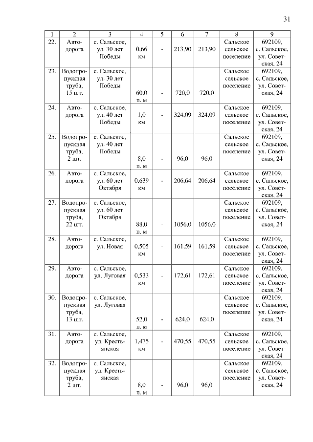
Закон Приморского края от 12.03.2018 № 243-КЗ
"О внесении изменений в Закон Приморского края "О разграничении объектов муниципальной собственности между сельскими поселениями Дальнереченского муниципального района и Дальнереченским муниципальным районом"
Номер опубликования: 2500201803130020
Дата опубликования: 13.03.2018
Страница №31 из 33:
Увеличить