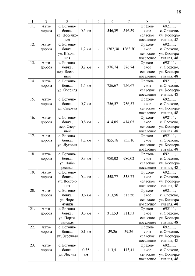
Закон Приморского края от 12.03.2018 № 243-КЗ
"О внесении изменений в Закон Приморского края "О разграничении объектов муниципальной собственности между сельскими поселениями Дальнереченского муниципального района и Дальнереченским муниципальным районом"
"О внесении изменений в Закон Приморского края "О разграничении объектов муниципальной собственности между сельскими поселениями Дальнереченского муниципального района и Дальнереченским муниципальным районом"
Номер опубликования: 2500201803130020
Дата опубликования:
13.03.2018
